Concept-0076

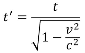
Relativistic Time Dialation

Patreon Member Required Access

https://www.patreon.com/solrei

  Please consider supporting us on Patreon. We are working to bring material from our original systems review online for patrons only content. Patreons receive exclusive access to insights and detail on how to gain the precipice of the unified Universe.
To view this content, you must be a member of Charles's Patreon at $5.95 or more
Already a qualifying Patreon member? Refresh to access this content.